COURT & REPORT

In the interest of transparency, I’m posting videos of Blackmun’s court appearances, as well as the DNR’s report and the supporting evidence. I obtained everything via FOIA requests, and it’s all public domain at this point.

When I contacted the DNR to report the poaching, I knew the broad strokes of the crime, but not all the details. Plus, Officer Nason was forbidden to discuss anything about an ongoing investigation. Once the case was closed the report became available and everything became clear.

Redactions have been made to protect the identity of individuals in the report. A standard procedure for FOIA requests.

BLACKMUN’S ARRAIGNMENT AT 8TH DISTRICT COURT - JUDGE SANTONI

BLACKMUN’S PRE-TRIAL AT 8TH DISTRICT COURT - JUDGE SANTONI

OFFICER NASON’S REPORT

BLACKMUN’S HARVEST REPORT

BLOODTRAIL PHOTO, SUBMITTED WITH AN ANONYMOUS POACHING REPORT

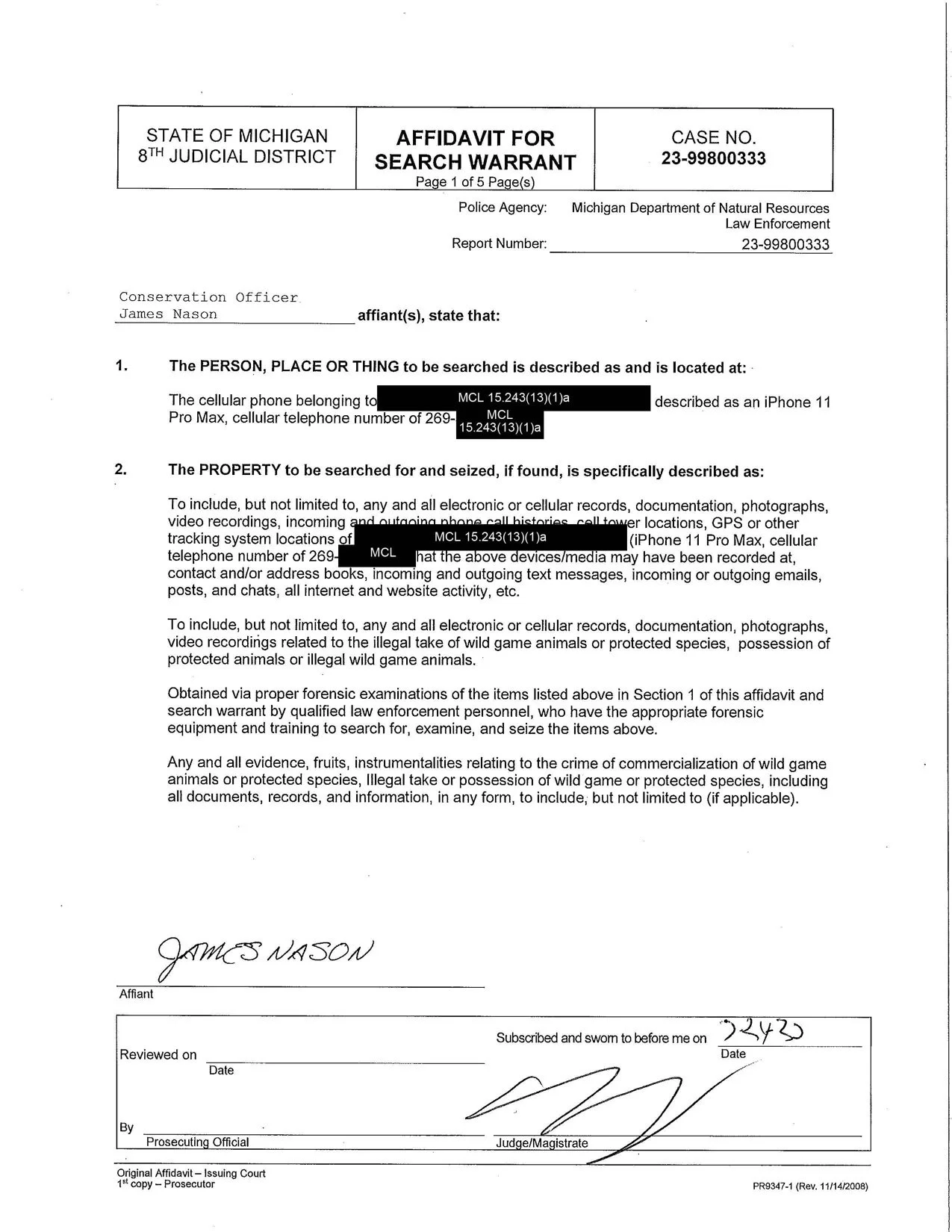
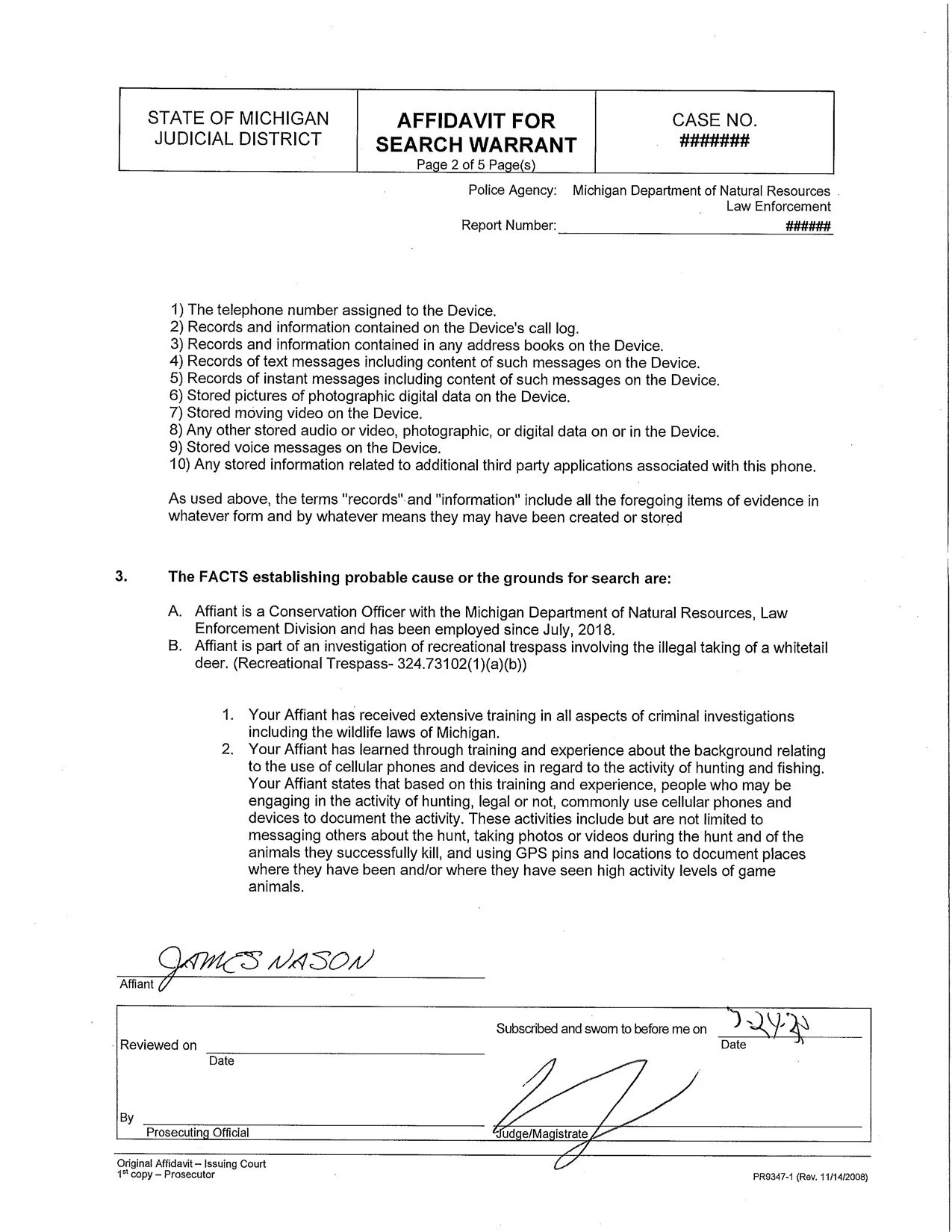
AFFIDAVIT FOR SEARCH WARRANT

CHAIN OF CUSTODY

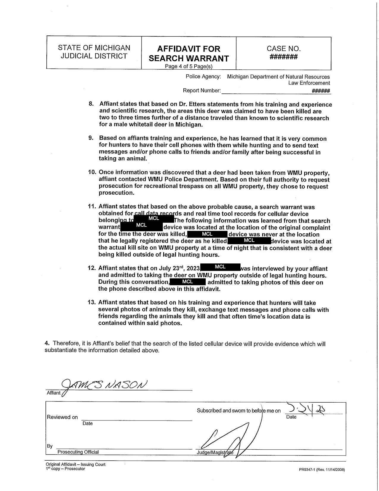
AFFIDAVIT OF PROBABLE CAUSE

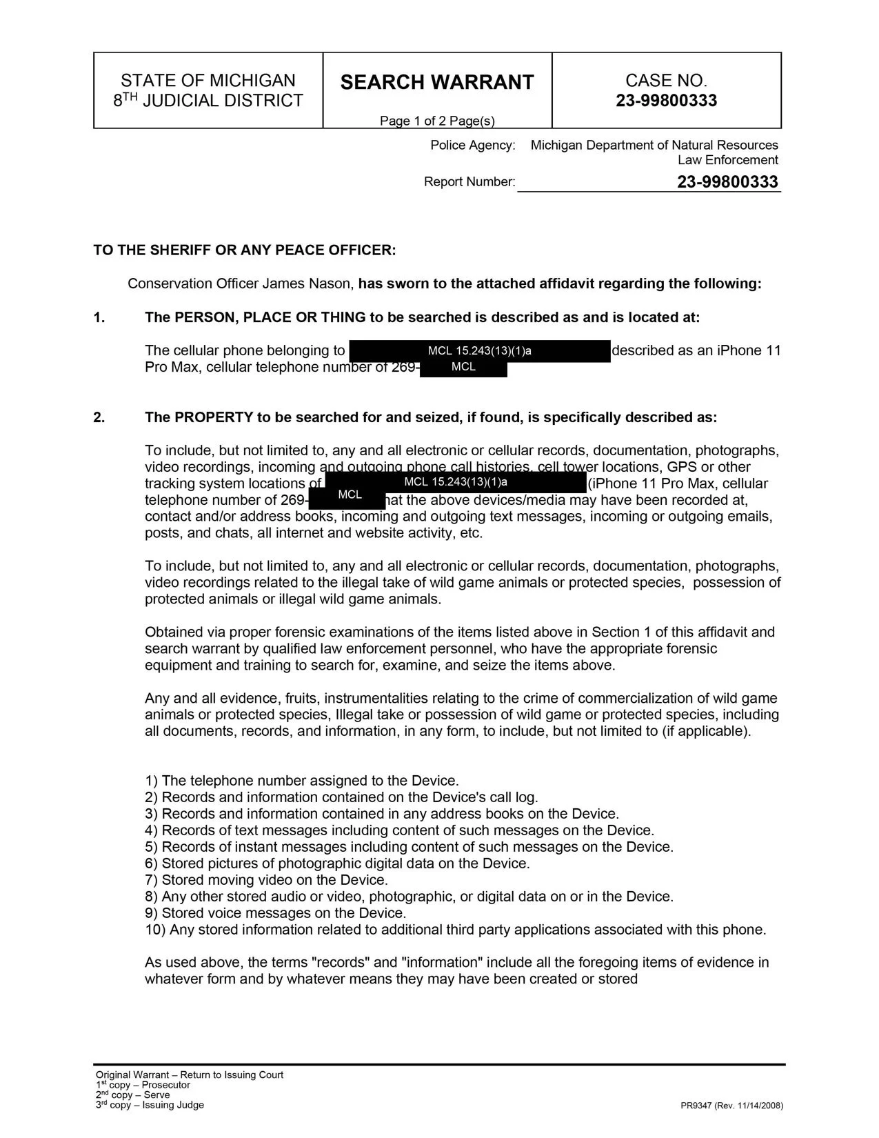
CELL PHONE SEARCH WARRANT

FACEBOOK POSTS

GRAPHIC I CREATED FOR THE DNR WHEN I REPORTED THE POACHING INCIDENT

INSTAGRAM AND VIDEO SCREENSHOTS I SUBMITTED

TRUCK USED

Next
Next

POACHED